Archive
Expressões regulares, autômato finito não determinístico e autômato finito determinístico
Introdução
No desenvolvimento de um programa (http://www.braga.eti.br/ca/) para exibir quaisquer das 256 regras de autômatos celulares (ACs) propostos pelo incrível Stephen Wolfram, em seu volumoso livro “A New Kind of Science” deparou-se com a questão, simples, de como tratar as possíveis combinações de entrada, do referido programa, já que o usuário poderia:
- Pedir o AC de uma única regra (
, onde
);
- Pedir um conjunto de ACs no seguinte formato:
–
, onde
;
- Pedir vários ACs, combinando as duas alternativas anteriores separadas por vírgula (,), em um número finito (e, arbitrário) de vezes.
Este artigo trata das etapas necessárias para que se possa implementar, de forma correta, o tratamento da entrada do programa proposto. Tais etapas são: (a) a construção da expressão regular, (b) a transformação da expressão regular em um autômato finito não determinístico (NFA), (c) a redução do NFA para um autômato finito determinístico (DFA) e, (d) a implementação propriamente dita.
Expressão Regular
Na literatura de computação, principalmente, os trabalhos de pessoas que lidam com inseguridade como, por exemplo, LANGSEC: Language-theoretic Security recomendam, insistentemente, o uso de linguagens regulares para tratar as entradas de um programa. Nesta direção, se considerado que nos itens de 1 a 3 das especificações acima, as variáveis e
(diferentes entre si) são números de 0 a 255 pode-se adotar tais números como símbolos, e com as abstrações admissíveis usar a letra (ou símbolo!) n para representá-los e, adicionalmente reconhecer, que dois outros símbolos como pré-requisitos, (, e –), as seguintes combinações de entrada são possíveis:
- n
- n, n-n
- n, n-n, n, …,n, n-n, …
- n-n, …, n, …,n, n-n, …
- etc
De tais combinações, depois de um pequeno esforço mental é possível identificar a expressão regular que responde ao desejado:
–
–
A noção de abstração aplicada à formulação da expressão regular implica que serão deixadas para a implementação, as questões limitantes do uso do símbolo n e da representação infinita do *.
Dada a expressão regular, a próxima etapa é a construção do NFA.
Autômato finito não determinístico (NFA)
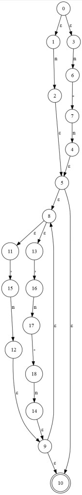
Construir um NFA a partir de uma expressão regular utilizando-se do algoritmo disponível em várias referências é uma tarefa extremamente agradável, muito embora, um pouco trabalhosa. em determinados casos. Entretanto, na Internet existem diversos ambientes para construção do NFA, de forma automática. Um deles é o Regular Expression to NFA. Usando-o, obtemos o NFA exibido na Figura 1.

Autômato finito determinístico (DFA)
O mesmo construtor do NFA, fornece o DFA, imediatamente, conforme visto na Figura 2.

Implementação
No Capítulo 10, “Patterns, Automata, and Regular Expressions”, do livro de Al Aho e Jeff Ullman, imperdível e disponível na Internet em Foundations of Computer Science, exibe um algoritmo de implementação de um autômato, extremamente simples, como se pode verificar. Foi usado aquele algoritmo para a implementação e, na oportunidade garantindo as restrições sobre a expressão regular lembradas acima.